0 引言
金属化膜是在薄膜上蒸镀一层很薄的铝或铝锌合金电极。在薄膜中弱点发生击穿时,金属电极蒸发并隔离故障点,使得电容器迅速恢复绝缘得以继续正常工作,这个过程称之为“自愈”,该过程中电弧燃烧消耗的能量叫作自愈能量[1]。自愈能量越大,单次自愈过程中清除的金属电极面积越大,金属电极面积的损失导致电容量下降。
测试电容器的电容量损失是一种衡量电容器运行状况的有效方法。当电容量损失增多时,金属化膜脉冲电容器耐压性能下降,每次充放电电容量的损失将大幅增加。通常以电容量下降达到5% 时的充放电次数作为金属化膜脉冲电容器的工作寿命[1]。
金属化膜脉冲电容器的电容量损失过程能够作为评估电容器工作状况的方法,这就表明设备的维护工作能够预先制定,而不是等到电容器出现故障时再去维护。在大系统中出现电容器故障,后果可能是灾难性的,其造成的损失远远大于维修设备的花费。因此在金属化膜脉冲电容器投入运行前,取其部分样品进行寿命测试是必要的,以此来了解此种类型金属化膜脉冲电容器的寿命特性。
1 影响金属化膜脉冲电容器寿命的因素
金属化膜脉冲电容器的寿命受到各种不同因素的影响,下面讨论这些影响因素。
1. 1 电压
金属化膜脉冲电容器的寿命受到所加电压强度的影响。有学者[2]指出薄膜上外界压强为0,薄膜方阻为1. 4 Ω/□时,自愈能量与电压的关系如式( 1) 所示:

式( 1) 中,Ws为自愈能量; U为所加电压; n为系数。在其他一些学者的研究中,n在2 ~ 6 之间变动[3-4]。Kammermaier和Heywang指出表面自愈过程中金属脱离面积与自愈能量成正比[5-7],比例关系如下:

式( 2) 中,S为自愈面积; d为薄膜厚度。
在金属化膜脉冲电容器的寿命测试中,薄膜自愈造成的金属层蒸发是电容量损失的主要因素。因此电容器的寿命与电容器自愈能量相关。结合( 1) 与( 2) ,可得到式( 3) :

因此对于同种金属化膜脉冲电容器,寿命与电压的关系可以表示如下:

式( 4) 中,L为寿命; U为金属化膜脉冲电容器所加电压; m为系数。可以发现金属化膜脉冲电容器的寿命受到电压的影响显著,随着电压的升高,金属化膜脉冲电容器寿命近似呈指数关系下降。
1. 2 电压反向
研究表明0 ~ 20% 反峰电压对金属化膜脉冲电容器的性能影响不大,但当反峰电压达到50%正向电压以上时,金属化膜脉冲电容器的电容量会急剧下降。设计者应该考虑到运行中反峰电压造成的电容量损失。电压反向的影响机理主要为反向电压与其内部慢极化电场相叠加,使介质承受较大电场,导致介质劣化、自愈增加、寿命下降[8]。
有学者提出了寿命与反峰电压关系[8],如下:

式( 5) 中 β 为反峰系数,即反向电压峰值与正向电压峰值的比值,而一般电流反峰率与电压反峰率大小是一样的。
1. 3 温度
在环境温度为20 ℃ ~ 40 ℃ 时,温度对金属化膜脉冲电容器寿命的影响不大; 在温度为40 ℃~ 65 ℃ 时,每增加8 ℃ ,金属化膜脉冲电容器的寿命减半; 而在65 ℃以上时,新的故障出现,金属化膜脉冲电容器的寿命急剧下降[8]。因此电容器操作时的环境温度对金属化膜脉冲电容器的寿命有显著的影响。
1. 4 峰值电流
在脉冲放电过程中通过电容器的大电流会在电极之间产生很大的电动力[9]。金属化膜脉冲电容器的端部喷金处流过的电流最大,端部喷金接触会受到破坏,导致喷金脱落。当金属与电介质的接触遭到破坏时,金属化膜脉冲电容器的等效串联阻抗增加,之后脉冲放电会使得金属化膜脉冲电容器出现过热,最终导致其性能和寿命的降低。
金属化膜脉冲电容器流过脉冲电流会产生热量,使得薄膜介质劣化,击穿场强下降,自愈增多,寿命下降[8]。
2 寿命测试方法
基于上述影响金属化膜脉冲电容器寿命的因素,在此提出一种金属化膜脉冲电容器寿命测试方法。此方法可以测试上述不同影响因素下金属化膜脉冲电容器的寿命特性,并能够模拟实际工况进行金属化膜脉冲电容器测试,以此来了解金属化膜脉冲电容器的品质并对其运行寿命进行预测[10]。
金属化膜脉冲电容器寿命测试回路如图1 所示,试品电容C充至预设电压值后,晶闸管VT导通,电容C对电阻Rf和电感Lf放电,电压反转时,反向电流经过二极管V续流。晶闸管的触发信号经过设计,能提供多次连续触发,保证电容器的放电能够持续到电压幅值衰减为可忽略的极小值。
图1 金属化脉冲电容器寿命测试回路Fig. 1 Test circuit on life of metalized pulsed capacitor
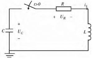
2. 1 寿命测试原理
寿命测试原理如图2 所示。图2 为典型的二阶放电电路。

图2 测试回路原理图Fig. 2 Test circuit diagram
金属化膜脉冲电容器充电到设置电压后,再合上开关,假设合开关前的时间为0,因此0 时刻电流为零,起始电压与起始电流如下:
合上开关后回路方程如下:
方程特征根如式( 8) 、( 9) :

根据实际工况下不同负载进行参数选择,回路参数改变后,脉冲放电波形也随之改变,大致分为3 种形式。
1) 过阻尼情况。 需要调节参数使得,即a > ω0,特征根p1和p2为不相等的负实根。放电电流表达式如下:
2) 临界阻尼情况。调节回路参数,使得 ,即a = ω0,特征根p1和p2为相等的负实根。放电电流表达式如下:
3) 欠阻尼情况。 调节回路参数,使得,a < ω0,特征根p1和p2为有负实部的共轭复根,表达式如式( 12) 、( 13) :
式( 12) 、( 13) 中a、ωo、ωd满足下式:
计算得到脉冲放电电流如下:

即通过这样的回路设置,并进行参数调整,可以得到脉冲条件下的任意波形,进行寿命测试。
典型的脉冲放电电流如图3 所示,其为欠阻尼情况。图3 中金属化膜脉冲电容器电容量为40 μF,所加电压5. 7 k V,电流幅值888 A,反峰系数10. 8% ,周期1. 1 ms。回路参数中电阻3. 5 Ω,电感418 μH。
图3 典型脉冲放电电流波形Fig. 3 Typical pulsed discharge current waveform. 下载原图
2. 2 测试设备
2.2.1充电机
高压充电电源广泛应用于等离子体物理、高功率激光、大功率微波、粒子束武器等领域。如今的脉冲激光发生器、医疗加速器、电源调制器和其他脉冲充电容放电回路都面临着系统给电容器充电的问题。传统充电电源采用的工频高压电源和LC谐振充电方式,虽然电路简单,但其体积和重量大,低频工作状态以及纹波、稳定性均不能令人满意。电力电子学的飞速发展和开关电源的采用使充电电源高频化成为趋势,且在国外已有快速发展。美国的Maxwell公司及EMI公司均研制了开关模式的适合脉冲电容充电的系列高压电源。
充电方式是充电机选择的重要因素,主要分为3 种方式: 1RC直流恒压充电; 2L-C谐振充电; 3LRC串联谐振恒流充电。与恒压充电相比较,LRC串联谐振恒流充电时电容器上的电压上升速度均匀,充电时间较短,回路没有限流电阻,消耗的能量较少,利用率高,因而使恒流充电适应了激光电源技术向重复频率发展的趋势,得到广泛的应用。
如果使用传统的恒压充电,在充电初期,电容器上的电压较低,流过电源的电流较大,电源相当于短路,必须串联电阻以限制电流,在充电后期,随着电容器上的电压升高,降落在限流电阻上的电压降低,流经限流电阻的充电电流减小,充电速度变慢,消耗能量,利用率低。分别采用恒流充电和恒压充电时电容器上的电压上升曲线如图4 所示,其中电压线性上升的为恒流充电,可以看出在电源容量相同的情况下恒流充电快于恒压充电[10]。

图4 恒压充电与恒流充电比较Fig. 4 Comparison between constant voltageand current charging
图4 恒压充电与恒流充电比较Fig. 4 Comparison between constant voltageand current charging
2. 2. 2 晶闸管与二极管
晶闸管是PNPN 4 层半导体结构,它有3 个极: 阳极,阴极和门极。晶闸管具有硅整流器件的特性,能在高电压、大电流条件下工作,且其工作过程可以控制,在此选用晶闸管进行脉冲放电的导通。当电压过高,可将晶闸管进行串联,增大整体的耐压能力。
脉冲放电过程中,在感性负载的作用下,会出现欠阻尼回路,导致电路出现振荡。二极管的作用是给脉冲放电反向电流续流。当电压增大后,可通过二极管串联以提高整体耐压能力。
当选用串联连接时,每个开关元件的参数不可能完全一致,可能会出现分压不均,因此应该在二极管与晶闸管两端并上均压回路,其包括稳态均压回路与暂态均压回路。稳态均压回路使晶闸管与二极管在稳态电流作用下,分压均匀。暂态均压回路使得晶闸管与二极管在瞬间脉冲作用下能够得到均匀分压,避免因分压不均,导致元件破坏,回路设置如图5 所示。图中Rj为稳态均压回路电阻,Cd与Rd为动态均匀回路的电容与电阻,其中电容起到了缓冲回路冲击的作用。
图5 晶闸管与二极管均压回路图Fig. 5 Equalizing circuit of thyristors and diodes
2. 2. 3 回路电阻与电感
脉冲放电对于参数要求严格,一般无需很大的电阻和电感,但在电阻与电感中需要通过很大的电流,并且电感与电阻需要方便调节以满足不同波形的要求,因此测试回路中电感和电阻的形式需要认真考虑。
2. 2. 4 特殊测试设备
当需要测试金属化膜脉冲电容器在特殊条件下的寿命特性时,需要在回路中增加适当的设备以达到测试要求。如要测试不同温度或湿度环境下金属化膜脉冲电容器的寿命特性,可将金属化膜脉冲电容器放入恒温恒湿箱中,用导线将其接入回路,进行寿命测试,以实现不同温度或湿度下寿命测试,即进行特殊测试需要加入特殊设备。
3 结语
本文对影响金属化膜脉冲电容器寿命的因素进行分析,提出了按不同影响因素测试金属化膜脉冲电容器寿命特性的方法,并对此测试方法的原理与主要设备进行了说明。此方式可高效测试金属化膜脉冲电容器的寿命特性,对金属化膜脉冲电容器寿命测试以及基于寿命测试而形成寿命预测具有一定的指导意义。
